Precision Health Herrera

Ingeniería de Precisión para la Solvencia Metabólica

EVALUAR MI SOLVENCIA (TEST GRATUITO)
Descubrir el Ecosistema

CLINICAL PROTOCOL

Diseño de estrategias in-silico para casos complejos.

AGENDAR INTERVENCIÓN

VECTORIAL LABS

Conocer la Tecnología >

Fórmulas de alta potencia. Disponibilidad restringida

VER LA COLECCIÓN "GÉNESIS"

HUMAN DECIPHER INTELLIGENCE

No adivinamos. Leemos el código fuente de tu metabolismo.

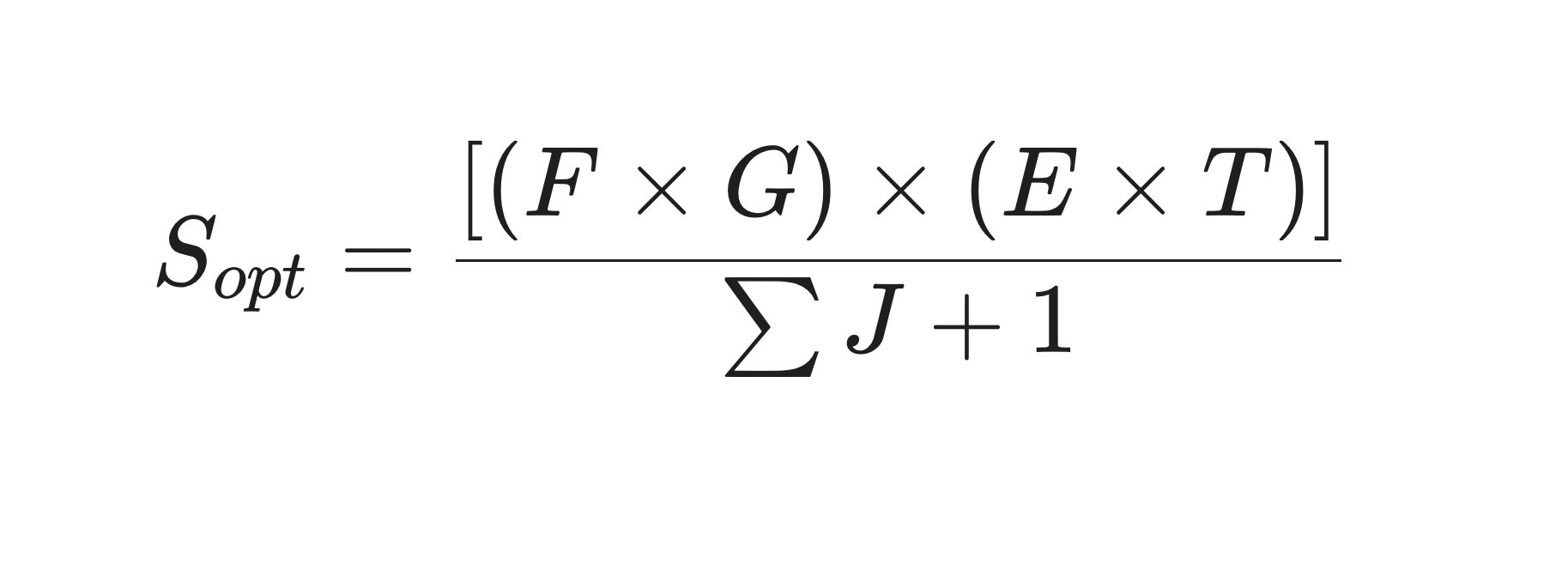
Powered by Thermodynamics

La gestión de la energía lo es todo. Nuestro algoritmo Sopt detecta y corrige las ineficiencias antes de que se conviertan en síntomas.

Resistencia a la Insulina (J1): Fallo en la señalización de sensores. La energía no entra a la célula, se almacena como residuo adiposo..

Inflamación Crónica (J2) Resistencia sistémica elevada. El sistema inmune consume recursos destinados a la regeneración..

Disfunción Mitocondrial (J3): Ineficiencia en la cadena de transporte de electrones. Baja producción de ATP. Fatiga estructural.

Explorar la Teoría de la Solvencia Metabólica >

Estrés Neuroendocrino (J4): Voltaje neuroendocrino inestable. El catabolismo supera al anabolismo. Desgaste acelerado..

INICIA EL PROTOCOLO DE RECUPERACIÓN

La termodinámica no espera. Ejecuta la auditoría inicial de tus sistemas biológicos y recibe la hoja de ruta de tu ingeniería inversa.

SOLICITAR AUDITORÍA INICIAL